TECHNOLOGICAL OR TRADITIONAL TOOLS FOR DOCUMENTS' CORRECTION? A CASE STUDY IN HIGHER EDUCATION
|
Zein Kallas, Cèsar Ornat Escola Superior d'Agricultura (Universitat Politècnica de Catalunya, BarcelonaTech) Spain |
Received July 2012
Accepted September 2012
Abstract
Information and Communication Technology is playing an important role in assisting teachers in their activities. They became a) more efficient, b) more precise and c) more comprehensive. The “Audio” ad is a clear illustration for this trend. Students’ acceptance of the “Audio” tool has been analysed and compared with the “traditional” correction and the “track change”. 57 students have answered a structured questionnaire using a web 2.0 application for creating an online form. Results show a high relative importance for the “Audio” correction (42.02% of), followed by the “track change” and the “traditional printed document” with 33.02% and 24.95% respectively.
Keywords – Information and Communication Technology (ICT), Audio correction tool, Analytical Hierarchy Process (AHP).
----------
1 introduction
Information and Communication Technology (ICT) is changing modes of learning, collaboration and expression (Atkins, 2005). It has allowed enhancing and transforming information to be better assimilated. Most of teachers remain unaware of the high number of these non-traditional learning opportunities or are hesitant to use them (Bonk, 2009). These tools may play a significant role in helping teachers to improve the development of their subjects in an efficient and precise way (Lever-Duffy & McDonald, 2009). In this context, a rethinking of the use of communication technology in education by teachers is needed as a mean of a continuous adaptation to students’ preferences and a constant improvement of the transmitted information for learners (Raschke, 2003). Spector (2001) mentioned the potential allowed by these technologies for education. However they still requiring a higher acceptance. This study may represent for skeptical towards the use of technology in classrooms an indication that the student preferences are changing.
Among the ICT options, the Web 2.0 tools had arisen as great supporting elements in developing educational activities, helping learners and involving students continuously in different tasks (Bonk, 2009). Den Exter, Rowe, Boyd and Lloyd (2012) mentioned the need to develop, support and encourage strong interaction both between teachers and students, and amongst the students themselves using the Web 2.0 tools. These tools emerged as useful utilities in educational technology (Churchill, 2009) and became ubiquitous with sharing and collaboration features (Grosseck, 2009). The ability of teacher to interact correctly with the students is one of the most determinants factors of success in his classroom (Mercer, Littleton & Wegerif, 2009). In particular the on-line communication is recently receiving higher attention (Moller & Huett, 2012) due to its capacity to facilitate deeper and more satisfying personal connections between learners and professors.
From the different resources on the web, different tools are being released constantly, each with its specific utility, advantages and disadvantages (for an interesting classification of these tools, you can consult among other Churchill, 2009). Among them we highlights the collaborative presentation tools (Mindomo for mental maps, Prezi as alternative to PowerPoint, etc.), for collaboration (Google applications such as documents, recently changed to Google drive, calendar, and sites, etc.), for storage and sharing (Dropbox, sugarsync and syncplycity, etc.) and for collaboration (Blogs, twitter, wikipedia, etc.). From the different utilities provided by the web 2.0 technology, the “Voxopop” tool is an interesting option due to its potential to be used as a voice based e-learning approach. It relies on message boards but using voice rather than text. The obtained recorded voices files can be shared between individuals in three ways: public, semi-private (do not need an account) and private (need a Voxopop account). However, this application suffers from the restriction of including the obtained audio files in other software such as the text processors which may limit its use to just a way of communication between teachers and students.
The idea behind this work is to use the teacher recorded voice in the task of correcting documents. We consider that this may allow a better explanation of knowledge by including it directly within the students’ documents, allowing a large and better flow of information in a short time (i.e. by talking the number of words that can be transmitted in a minute is much larger in comparison to writing them). This fact may increase the teacher efficiency in using time and efforts. In this line, a text processor is needed that allow inserting voice within the document. To our knowledge, there are no web 2.0 tools that may facilitate this requirement. For instance, the Google drive tool does not allow (up to date) introducing voice within its text processor. However, both the free soft wares (OpenOffice) as well the licensed one (Microsoft-word office software) allow inserting and recording audio file within the text of a document. The main objective of this paper is to analyse students’ acceptance for the “audio/voice correction” tools in evaluating their works by introducing the teachers’ voice within the text. We seek also to compare this correction tool with the “traditional” correction method of printed document as well with the “track change” tool of any text processor. We used the office word text processor as it is the usual used software in our university and for students.
2 methodology and empirical application
To analyze the students' acceptance of a new correction tool, two specific objectives have been identified. The first one focus on analyzing the “relative importance” of the “voice tool” compared to the “traditional correction” one (writing on printed document) and to the “track change tool” of a text processor. The second objective tries to analyze factors affecting the perception of difficulties that students could face when using it. To reach these objectives different techniques have been proposed. Table 1 summarizes the applied methods.
|
Technique applied |
Objectives |
|
The Analytical Hierarchy Process |
Relative importance of correction tools according to student’s opinion |
|
The Logistic regression |
Factors affecting difficulty faced in using the voice correction tools |
The data used in this analysis was obtained from a survey using a structured questionnaire with students. We used the Google Form option to ensure students anonymity allowing them to comment freely their opinions and concerns. The questionnaires were carried out during April 2011. The questionnaire solicits information on student’s characteristics (age, gender) and their opinion toward the different correction tools and their attitudes in using laptops and smartphones. Almost all the questions were designed as open-ended ones, allowing a better quantitative analysis. However, we keep some open questions related the advantages and drawbacks of the audio correction. The final sample was about 57 students of agro-food marketing subject in their second year of the agricultural engineering grade. The questionnaire used can be found at: http://bit.ly/UoHJsy
It is worth mentioning that before carrying out the survey, students have already experiment the voice correction tools as it was used to correct some document in a work group’s task. This deliverable was dealing with a synthesis of a market analysis of an agro-food product. To insert a voice comment, the process starts by inserting an object (from the insert menu) and continue by selecting the option of voice file. In a subsequent step, we choose the “new file” option and we start to record our voice comment within the document for one minute as limiting time for each inserted audio file. Later the document was sent to student in order to hear the corrections and comments. Follows we explain very briefly the use of each technique in this study.
2.1 The analytical hierachy process-AHP
The AHP is a mathematical technique for multi-criteria decision-supporting method in discrete environments (Saaty, 1980). It enables decision makers in their planning, setting priorities, selecting the best product among a set of them, and allocating resources. It aims to decompose a complex decision problem in a hierarchy of smaller constituent sub-problems. Thus, determining the individually most preferred alternative from a set of elements is a decision problem where the hierarchy top level represents the individual elements (Figure 1).
Figure 1. Hierarchy of elements
In order to implement the AHP, alternatives should be compared in order to set the best and preferred one. Thus, one needs to carry out a survey where individuals are asked to make a pairwise comparison between elements. First, the respondent has to indicate which of the two elements the respondent prefers. Then a nine point scale is used to measure the strength of this preference by means of verbal judgments as can be seen in Table 2.
|
Importance rates |
Definition of the scale |
|
1 |
Two characteristics are equally important |
|
2 |
Between 1 and 3 |
|
3 |
The preferred characteristics are slightly more important |
|
4 |
Between 3 and 5 |
|
5 |
The preferred characteristics are moderately more important |
|
6 |
Between 5 and 7 |
|
7 |
The preferred characteristics are strongly more important |
|
8 |
Between 7 and 9 |
|
9 |
The preferred characteristics are absolutely more important |
Table 2. The AHP comparison scale
As mentioned before, a pair wise comparison exercise is needed in order to obtain judgments that estimate the relative importance for each alternative at individual level (students) as well at the whole sample. An example of a pair wise comparison used in our questionnaire can be shown in Table 3.
-
The “voice correction” tools
The “traditional” correction of printed document
9
8
7
6
5
4
3
2
1
2
3
4
5
6
7
8
9
The “voice correction” tools
Track change tool of text processor
9
8
7
6
5
4
3
2
1
2
3
4
5
6
7
8
9
The “traditional” correction of printed document
Track change tool of text processor
9
8
7
6
5
4
3
2
1
2
3
4
5
6
7
8
9
In your opinion, which correction tool do you prefer? Indicate the degree of superiority of the preferred element. In case of equality of tools, select the option “1”.
Table 3. Example of the AHP questions
From the answers provided, a matrix is generated for each student k and is known as the Saaty matrix:
-
(1)
Where aijk represents the value obtained from the pairwise comparison between element i (iÎ N / iÎ P) and element j; (jÎ N / jÎ P) for each student k. The fundamental properties of this comparison matrix are: a) reciprocal comparison: if aijk=x then ajik=1/x); b) homogeneity: if characteristics i and j are judged to be of equal relative importance then, aijk = ajik = 1; and c) all the elements of its main diagonal take a value of one (aiik=1 " i).
If perfect consistency in preferences holds for each student, it should also hold that aihk ´ ahjk = aijk for all i, j and h (hÎN / hÎP). This condition implies that values given for pairwise comparisons represent weights given to each element (correction alternatives) by a perfectly rational student aijk= wik/wjk for all i and j. Therefore, the Saaty matrix can also be expressed as follows:
-
(2)
Under such circumstances, K weights (wNk) for each alternative (N) can be easily determined from the N(N-1)/2 values for aijk. However, perfect consistency is seldom present in reality, where subjectivity plays an important role in the pairwise comparison. Thus in the case of perfect consistency it should hold that: Sk×W=N×W (for alternatives) where W =(w1, w2, …, wN). However, in Saaty matrixes (Sk=aijk) some degree of inconsistency is present. Therefore, Saaty proposed the redefinition:
Sk×W= lmax×W, where lmax is the maximum eigenvalue of matrix Sk which is determined by:
-
(3)
AHP was originally conceived for individual decision-making, but was rapidly extended as a valid technique for the analysis of group decisions. Thus, we aggregate corresponding individual weights (wik) across students to obtain a synthesis of weights for each correction alternatives (wi). The geometric mean can be used in the aggregation process for the whole sample as follows:
-
(4)
2.2 The logistic regression
Logit models are a basic tool for analyzing problems with a binary variable (yes / no, agree/disagree, like/dislike treatments. The acceptance (1) or not (0) of the students of the voice correction tool fits perfectly in the same regression model. For this reason the logistic model has been considered in this paper to analyse this response variable (Y). The purpose of the logistic regression is to obtain a multiple relationship between different variables with the following characteristics:
-
The response variable (Y) is discrete, usually formed of a true (1) or false (0) values.
-
The explanatory variables are the personal characteristics.
-
The starting model is not linear but exponential, but with the logit transformation is represented as linear.
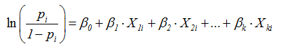
The Logistic regression tries to express the probability pi to accept the “voice correction” tool in front of not accepting it (1-Pi) according to the following exponential model:
-
(5)
This model analyse the probability of occurrence of a success in the response variable (Y = 1, i.e. the acceptance of the voice tools) as a linear function of the explanatory variables (student characteristics; Xki). To interpret the relationship between variables, the odds ratio is calculated (ORi=ebi) which expresses the change that originates in the probability a unit change in the considered explanatory variable, i.e. increasing or decreasing the probability of accepting the new voice correction tools. For more detailed information on the logit regression technique, the interested reader can consult Hosmer and Lemershow (1992) among other authors.
For the application of the logistic regression, the dependent variable (y) used was the technical difficulty that faced student in using the "voice correction" tool. This variable was initially created using an 11 point scale (from 0 to 10) where 0 “did not face any technical difficulty” and 10 “I face several technical difficulties”. In order to adapt this scale for a logistic regression, we have created a new variable that take the value of “0” if for the scale value is from 0 to 5 (26.3% of the responses) and take the value of “1” if the scale value is from 6 to 10 (73.7% of the responses). The explanatory variables proposed for the realization of the logistic model were:
-
IDEA: What did you think of the idea of the correction voice option?
-
GEND: Gender of the student
-
LAP: Do you have a laptop?
-
PC: Do you have a desktop computer?
-
SMRT: Do you have a smartphone or similar with Internet connection?
-
AVRG: What is the average grade you usually get in a course?
The final constructed relationship is:
|
|
(6) |
3 results
Results demonstrate that the idea of the “voice correction” has been positively perceived by students with an average valuation of (8.58) on a scale from 0 to 10 points. However, students stated that they faced some technical difficulty in hearing the corrections (7.04). This is because some of the desktop computers in the University (for students) do not contain “sound card hardware” and therefore it was difficult for students to realise this task in the University. In addition, using their personal computer was also in some cases difficult. They state that they do not usually use earphones and thus hearing the correction in a public space is restrictive. In this context students were asked to mention 3 main advantages and three main disadvantages of the “voice correction”. Results are summarized in the Table 4.
|
Disadvantages |
Advantages |
|
|
Table 4. Advantages and disadvantages of “voice correction” as stated by students
For the AHP, results allow us to identify the relative importance of the three analyzed alternatives of corrections. Figure 2 shows a graphical illustration of the obtained weights. As can be seen, the proposed “voice correction” tool was the most preferred one by students with an average weight of 42.02% compared to the other alternatives (24.95% for the traditional correction and 33.023% for the track change). This result sows high acceptance toward the voice correction method as a new tool adapted to student’s concerns. They stated that they prefer correction method that allows them to feel closer to teacher and to obtain concise and better information in correction within a few part of time.
Figure 2. The relative importance of alternatives tools of corrections to be valuated
In analyzing the factors that affect technical difficulties faced by students when using the voice correction, significant relationships are shown in Table 5.
|
Variable codes |
coefficients |
Wald |
p of Wald |
ORi=ebii |
|
GEND |
1.368 |
3.875 |
.076 |
3.927 |
|
SMRT |
1.296 |
3.320 |
.068 |
3.655 |
|
AVRG |
-1.242 |
3.785 |
.052 |
0.289 |
|
Global predicted percentage =76.4% |
|
|||
|
GEND: Gender of the student = 0 for female and 1 for male. SMRT: Have you a Smartphone or similar with Internet connection; 0 = No, 1 = Yes. AVRG: The average gotten in the courses. |
||||
Table 5. The logistic regression model
As can be seen, the model was significant for gender (GEND), having or not a smart phone with internet connection (SMRT) and the average grades of the course (AVRG). The relationship of these variables is significant (p of Wald less than 0.1), which indicate that these relationships are statistically different from zero and justify a significant contribution of facing technical difficulties.
Results show an OR = 3.927 for the gender variable (GEND) showing that the probability that male students face technical difficulties increase in front of females by 3.927 times. In this same line, student with smartphone with internet connection (SMRT) are more likely to face problems in using the voice correction than the other students by 3.655 times. This result seems to be unexpected as it is known that more “technological” students are used to face to face less technical difficulties. However it seem that the smartphone is becoming more associated with lifestyle and individual images than behaviour toward technology. Finally, for the average variable (AVRG) the OR is 0.289. We can state that for a 1 point increase of the students’ grade, the probability that the student face technical problem in using the voice correction decreases 0.289 times. Thus, results show that more successful students are prone to accept this new form of introducing voice correction.
4 conclusions
This paper focuses on assessing and comparing student’s preferences among different alternatives of correction tools for documents. On the basis of a nine-point scale pair wise comparison, we obtained the relative importance (weights) of the analysed alternatives. Moreover, we use the logit regression model to analyse factors affecting technical difficulty in using the voice correction. Data was collected from 57 students of agro-food market subject in their second year of the agricultural engineering grade during April 2011.
Results have shown a relative acceptance of the voice correction method. It seems to be an efficient way of work taking into consideration the quantity and quality of the information transmitted to students in few minutes in comparison to writing or typing corrections. However, improvement of such procedure is needed by allowing the edition and time control of the created audio file. This is because the system force student to hear entirely the audio file even if they need to hear only the last part of the voice comment. It seems to be essential that the computers in the education centre to be compatible with playing voice and at least with earphones. The voice correction tools support the need of such investment in the computers laboratories in the ESAB (Escola Superior d'Agricultura, Universitat Politècnica de Catalunya, BarcelonaTech) school where the study have been done. Finally, our results also make an insight for the decision makers of the educational program to integrate technological tools in the evaluation process of the students as an essential part to make the correction more efficient and more pleasant.
Our analysis is based on a small sample in a specific university case study. Therefore, results should thus be interpreted carefully. In this context, more empirical application should be carried out allowing us to set definitive conclusions on the acceptance of this correction method. In addition, it is also highly relevant for future research to introduce the smartphone as a tool to hearing the teacher comment and correction from documents attached to the Moodle-mobile platform.
References
Atkins, D. (2005). University futures and new technologies possibilities and issues. Discussion Paper, OECD/CERI Experts Meetings on University futures and new technologies.
Bonk, Curtis. J. (2009). The world is open: How Web technology is revolutionizing education. Jossey-Bat, San Francisco.
Churchill, D. (2009). Educational applications of Web 2.0: Using blogs to support teaching and learning. British Journal of Educational Technology, 40(1), 179–183. http://dx.doi.org/10.1111/j.1467-8535.2008.00865.x
Den Exter, K., Rowe, S., Boyd, W., & Lloyd, D. (2012). Using web 2.0 technologies for collaborative learning in distance education—Case studies from an Australian university. Future Internet 2012, 4(1), 216-237. http://dx.doi.org/10.3390/fi4010216
Grosseck, G. (2009). To use or not to use web 2.0 in higher education?. Procedia - Social and Behavioral Sciences, 1(1), 478–482.
Hosmer, D., & Lemershow, S. (1992). Applied logistic regression. New York: John Wiley.
Lever-Duffy, J., & McDonald, J. (2009). Teaching and learning with technology. Lavoisier.
Mercer, N., Littleton, K. & Wegerif, R. (2009). Methods for studying the processes of interaction and collaborative activity in computer-based educational activities. In: Kumpulainen, K., Hmelo-Silver, C.E. & César, M. (Eds.). Investigating Classroom Interaction: Methodologies in Action. Rotterdam: Sense, pp. 27–42.
Moller, L., & Huett, J. (2012). The Next Generation of distance education. USA: Walden University. http://dx.doi.org/10.1007/978-1-4614-1785-9
Raschke, C. (2003). The digital revolution and the coming of the postmodern university. London, New York: RoutledgeFalmer. x, 129.
Saaty, T. (1980). The analytic hierarchy process. New York: McGraw-Hill.
Spector, M. (2001). An overview of progress and problems in educational technology. Interactive Educational Media, 3, 27-37.
|
Citation: Kallas, Z., & Ornat, C. (2012). Technological or traditional tools for documents' correction? A case study in higher education. Journal of Technology and Science Education (JOTSE), 2(2), 86-93. http://dx.doi.org/10.3926/jotse.48 On-line ISSN: 2013-6374 – Print ISSN: 2014-5349 – DL: B-2000-2012
|
Author biography
Zein Kallas
Doctor in Agriculture Economics and Policies and professor at the ESAB-UPC (Escola Superior d'Agricultura – Universitat Politècnica de Catalunya, BarcelonaTech, Spain). He is developing his research activity in Agro-food Marketing at CREDA (Center for Agro‐food Economy and Development) & DEAB (Department of Agri-Food Engineering and Biotechnology-UPC). Also, he belongs to GIUMA-RIMA (Moodle group of Research and Innovation in Learning Methodologies).
Cèsar Ornat
Doctor in Biology and professor at the ESAB-UPC (Escola Superior d'Agricultura – Universitat Politècnica de Catalunya, BarcelonaTech, Spain). He is developing his research activity in Plant Protection at DEAB (Department of Agri-Food Engineering and Biotechnology-UPC). Also, he belongs to GIUMA-RIMA (Moodle group of Research and Innovation in Learning Methodologies).
Journal of Technology and Science Education, 2012 (www.jotse.org)
Article's contents are provided on a Attribution-Non Commercial 3.0 Creative commons license. Readers are allowed to copy, distribute and communicate article's contents, provided the author's and Intangible Capital journal's names are included. It must not be used for commercial purposes. To see the complete licence contents, please visit http://creativecommons.org/licenses/by-nc/3.0/es/
Published by OmniaScience (www.omniascience.com)
This work is licensed under a Creative Commons Attribution 4.0 International License
Journal of Technology and Science Education, 2011-2026
Online ISSN: 2013-6374; Print ISSN: 2014-5349; DL: B-2000-2012
Publisher: OmniaScience




